Blog

  • TEST

    0%
    7

    Report a question

    You cannot submit an empty report. Please add some details.

    projectile Motion Part-3

    Type Your Name

    1 / 75

    A ball is kicked horizontally from the top of a high cliff with an initial speed of 15m/s. After 2 seconds, which of the following statement describi the ball’s horizontal and vertical components?

    2 / 75

    The vertical and horizontal component of the projectile motion are

    3 / 75

    A stone thrown horizontally from the top of a tall building follows a path that is:

    4 / 75

    During project motion , the horizontal component of velocity ;

    5 / 75

    In projectile motion, Hmax/R = 1 at an angle of

    6 / 75

    During projectile motion, the vertical component of velocity

    7 / 75

    Ratio of range for two complementary angles is.

    8 / 75

    Fahad Safi hit a cricket ball at such a way that it create 60 degree to the horizontal with kinetic energy k. when the ball is at the highest point, its kinetic energy will be

    9 / 75

    Which one show the correct relation between Time of flight and Maximum height ( Consider g=10 m/s^2

    10 / 75

    The path of one projectile as seen from another moving projectile is

    11 / 75

    The trajectory of an object moving under constant acceleration

    12 / 75

    When range of projectile is equal to half of the height then which one is true

    13 / 75

    The velocity at the maximum height of a projectile is half its initial velocity of projection. Find its range on the horizontal plane. If u=20 ms−1. (Take g=10 m/s2)

    14 / 75

    A ball is projected with a velocity
    20 m/s at an angle to the horizontal, In order to have the maximum range. Its velocity at the highest position must be

    15 / 75

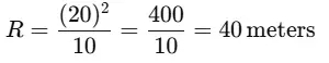
    A missile is fired for maximum range with an initial velocity of 20m/s . If g=10m/s^2 , the range of the missile is

    16 / 75

    at the highest point of projectile, the particle will have the velocity along

    17 / 75

    For a projectile launched vertically upward (neglecting air resistance), which of the following best describes the shape of its vertical velocity vs. time graph?

    18 / 75

    At every point of trajectory of projectile which of the following quantities is always zero

    19 / 75

    Projectile motion is not dependent on the ______ of particle

    20 / 75

    When a stone is thrown horizontally with 2 m/s from a building of height 5 m then just before hitting ground its acceleration is

    21 / 75

    At the highest point of trajectory of projectile which of the following quantities is zero

    22 / 75

    A projectile is launched with vertical Kinetic energy K at angle θ then its variation with kinetic energy Ko is

    23 / 75

    Projectile motion of object on earth is always

    24 / 75

    Projectile when launched at 90 degree with respect to horizontal then its trajectory is

    25 / 75

    If a projectile is launched with 3m/s velocity at 60 degree angle then at highest point its horizontal velocity is

    26 / 75

    Projectile motion has __________ acceleration at each point of trajectory

    27 / 75

    Galileo, in his book Two new sciencesstated that for elevations that exceed or fall short of 45° by equal amounts, the ranges?

    28 / 75

    At the highest point of trajectory in the ground to the ground projectile, the angle between gravitational acceleration and momentum is

    29 / 75

    The horizontal range of a particle thrown from the ground is four times the maximum height. The angle of projection with the vertical is:

    30 / 75

    Path of a projectile as seen from another projectile :

    31 / 75

    In projectile motion, accelerations of the projectile when it is gaining height and losing height respectively are

    32 / 75

    A bomb is dropped from an aeroplane flying horizontally. The path of the bomb as seen by the pilot will be (neglect air friction)

    33 / 75

    The speed of a projectile at its maximum height is half of its initial speed. The angle of projection is:

    34 / 75

    The velocity of a projectile at the initial point of projection is (2i + 3j) m/s. Its velocity (in m/s) at landing point  is:

    35 / 75

    Neglecting the air resistance, the time of flight of a projectile is determined by:

    36 / 75

    A ball is projected with velocity v0 at an angle of elevation 30°. Mark the correct statement.

    37 / 75

    In a projectile motion, velocity at maximum height is 

    38 / 75

    Which of the following sets of factors will affect the horizontal distance covered by an athlete in a long–jump event

    39 / 75

    Two bodies are projected with the same velocity. If one is projected at an angle of 30° and the other at an angle of 60° to the horizontal, the ratio of the maximum heights reached is

    40 / 75

    At the top of the trajectory of a projectile, the magnitude of the acceleration is

    41 / 75

    A ball is projected with kinetic energy at an angle of 45° to the horizontal. At the highest point during its flight, its kinetic energy will be 

    42 / 75

    A projectile thrown with a speed v at an angle θ has a range R on the surface of earth. For same v and θ, its range on the surface of moon will be (acceleration due to gravity on moon= g/6

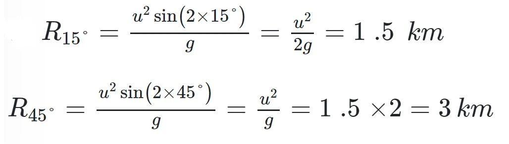
    43 / 75

    The range of a particle when launched at an angle of 15° with the horizontal is 1.5 km. What is the range of the projectile when launched at an angle of 45° to the horizontal 

    44 / 75

    An object is thrown along a direction inclined at an angle of 45 with the horizontal direction. The horizontal range of the particle is equal to

    45 / 75

    The range of a projectile for a given initial velocity is maximum when the angle of projection is 45°. The range will be minimum, if the angle of projection is

    46 / 75

    In the motion of a projectile freely under gravity, its

    47 / 75

    If the initial velocity of a projectile be doubled, keeping the angle of projection same, the maximum height reached by it will

    48 / 75

    A projectile fired with initial velocity u at some angle θ has a range R. If the initial velocity be doubled at the same angle of projection, then the range will be

    49 / 75

    A bomb is dropped from an aeroplane moving horizontally at constant speed. When air resistance is taken into consideration, the bomb 

    50 / 75

    A stone is just released from the window of a train moving along a horizontal straight track. The stone will hit the ground following

    51 / 75

    A bullet is fired with a speed of 1000  m/sec in order to hit a target 100 away. If  g=10  m/s2 the gun should be aimed:

    52 / 75

    A body projected with velocity u with an angle of projection θ . Change in velocity after the time (t) from the projection is:

    53 / 75

    A body is thrown horizontally with a velocity √(2gh)

    from the top of a tower of height h. It strikes the level ground through the foot of the tower at a distance x from the tower. The value of x is:

    54 / 75

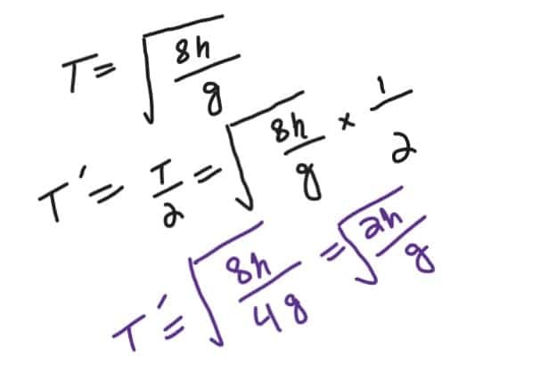
    Time required by projectile to reach the summit point is…

    55 / 75

    Projectile is thrown in such a way that its maximum height is eaual to its range,the angle of projection is..

    56 / 75

    A basketball is thrown upward along a parabolic path.what is the ball¢s acceleration while moving upward?

    57 / 75

    A stone is projected vertically upwards from ground at an initial speed of 15 m/s.Air resistance is negligible.What is maximum height reached by stone?

    58 / 75

    On a planet, a vertically-launched projectile takes 12.5 sec to return to is starting position. The projectile gains a maximum height of 170m.The planet does not have an atmosphere. What is acceleration of free fall on this planet?

    59 / 75

    A ball is projected upwards.Its acceleration at the highest point is ……

    60 / 75

    The range of projectile is the same for two angles which are mutually…

    61 / 75

    A stone thrown horizentally from the top of a tall building follows a path that is:

    62 / 75

    Two projectiles are in the flight at the same time. The acceleration of one relative to other:

    63 / 75

    At the highest point of its trajectory, the vertical velocity of a projectile is:

    64 / 75

    A projectile is launched at point O and follows the path OPQRS, as shown. Air resistance may be neglected.

    Which statement is true for the projectile when it is at the highest point Q of its path?

    65 / 75

    For a projectile, the physical quantity that remains constant is –

    66 / 75

    In the motion of a projectile freely under gravity, its:

    67 / 75

    At the top of the trajectory of a projectile, the directions of its velocity and acceleration are:

    68 / 75

    The maximum height attained by a projectile is increased by 10% by increasing its speed of projection, without changing the angle of projection. The percentage increase in the horizontal range will be:

    69 / 75

    A ball is thrown at an angle θ with the horizontal. Its horizontal range is equal to its maximum height. This is possible only when the value of tan θ is:

    70 / 75

    Velocity of an oblique projectile in its flight –

    71 / 75

    Which of the following changes when a particle is moving with uniform velocity?

    72 / 75

    A ball is thrown and follows a parabolic path, as shown above. Air friction is negligible. Point Q is the highest point on the path. Which of the following best indicates the direction of the acceleration, if any, of the ball at point Q?

    73 / 75

    two balls projected at 30° and 60° with the same initial velocity the ratio of their maximum heights is

    74 / 75

    at which point  for a projectile its K.E is completely converted into P.E

    75 / 75

    two projectiles are fired at different angles with the same magnitude of velocity such that they have the same range. at what angles they might have been projected?

    Your score is

    The average score is 0%

    0%

  • Lipids

    Report a question

    You cannot submit an empty report. Please add some details.

    Lipids

    1 / 146

    Long term energy reservoir in body

    2 / 146

    lipids are the building material of cellular membranes called ________ membrane

    3 / 146

    which of the following is isoprenoid unit

    4 / 146

    carotenoids are lipids that are ______ in colour

    5 / 146

    which do not contain fatty acid

    6 / 146

    aldosterone helps to regulate the _______ content of the blood

    7 / 146

    cholesterol is a precursor of all steroid hormones such as

    8 / 146

    each steroid is formed of a backbone of four fused carbon rings containing ________ carbon atoms

    9 / 146

    which one do not contain fatty acids

    10 / 146

    waxes are

    11 / 146

    waxes are 

    12 / 146

    waxes are formed by long chain fatty acid bonded to long chain

    13 / 146

    which part of phospholipid molecule is hydrophobic in nature

    14 / 146

    in a phospholipid molecule a phosphate head is soluble in 

    15 / 146

    in a phospholipid molecule a phosphate head is 

    16 / 146

    a phospholipid molecule has how many parts

    17 / 146

    a triglycerids molecule is  converted into phospholipid when a fatty acid is replaced by 

    18 / 146

    which one contain one glycerol molecule, two fatty acids and one phosphoric acid molecule

    19 / 146

    Ghee with saturated fatty acid is prepared from vegetable oil by passing ________ through it

    20 / 146

    which one yield as twice as energy per gram as that of carbohydrate

    21 / 146

    saturated fatty acids are stored in

    22 / 146

    acylglycerol with saturated fatty is called

    23 / 146

    acylglycerol with saturated fatty acid is called as 

    24 / 146

    saturated fatty acids have how many double bond

    25 / 146

    fatty acids may be

    26 / 146

    most of fatty acids in a cell contain ___________carbon atom per molecule

    27 / 146

    triglycerides are stored in

    28 / 146

    triglycerides contain how  many fatty acids

    29 / 146

    the most common acyl glycerol are

    30 / 146

    acylglycerol are lipids which are composed of 

    31 / 146

    lipids contain more 

    32 / 146

    lipids contain

    33 / 146

    chemically hormones are

    34 / 146

    in saturated fatty acids more hydrogen are not accommodated because

    35 / 146

    which of the following is composed of lipids

    36 / 146

    waxes are the esters of fatty acids with high molecular weight

    37 / 146

    Ester linkage is a bond which involves a chemical reaction between:

    38 / 146

    The “tails” of the hydrocarbons in the phospholipids molecules orient away from water. Which of the following describes the tail’s movement away from

    39 / 146

    Lipid molecules have the capacity to store double amount of energy as compare to same amount of carbohydrate because of high number of:

    40 / 146

    In saturated fatty acids more hydrogen are not accommodated because of

    41 / 146

    which one of the following do not contain fatty acids

    42 / 146

    each steroid is formed of a  backbone of four fused carbon rings containing ________ carbon atoms

    43 / 146

    _________ are formed by long chain fatty acids bonded to long chain alcohol

    44 / 146

    which part of phospholipid molecule is soluble in water

    45 / 146

    which one is a saturated fatty acids 

    46 / 146

    a triglycerides contain

    47 / 146

    which one has more carbon- hydrogen than carbohydrates

    48 / 146

    Terpenoids are formed of – carbon unit called isoprenoid

    49 / 146

    A typical fat molecule is made up of

    50 / 146

    A lipid is a polymer made up of

    51 / 146

    Which of the following is the function of lipids?

    52 / 146

    How many hexagonal and pentagonal structures are present in cholesterol

    53 / 146

    which of the following is long term energy storage molecule

    54 / 146

    Prostaglandin consists of ____ of lipids

    55 / 146

    which of the following is second messenger of phospholipid

    56 / 146

    Giberillin are hormone belong to which class of macro molecule

    57 / 146

    phospholipase convert phospholipid into second Messager such as

    58 / 146

    Which of the following is composed of lipids?

    59 / 146

    Triacylglycerols are also called as……

    60 / 146

    Lipids store double amount of energy as compared to same amount of carbohydrates due to….

    61 / 146

    No of c atoms in fatty acid

    62 / 146

    Fats and oils are …….

    63 / 146

    The polar region of phospholipid molecule is…….

    64 / 146

    Modified fatty with two non polar tails are

    65 / 146

    Lipids that do not contain fatty acids are…….

    66 / 146

    which maintains the fluidity of cell membrane?

    67 / 146

    Palmitic acid is an example of ….

    68 / 146

    which of the following is an example of terpenoids?

    69 / 146

    Lipids are

    70 / 146

    the most abundant lipids in living things are

    71 / 146

    ………. Are lipids that do not contain fatty acids

    72 / 146

    most common type of phospholipid is

    73 / 146

    Which of the following are called neutral lipids

    74 / 146

    Which of the following are esters of glycerol and fatty acids

    75 / 146

    Which of the following is the major constituent of the lipid bilayer of cell membrane?

    76 / 146

    Phosphatidylcholine is the most common type of ?

    77 / 146

    Phospholipids are formed when phosphatidic acid combines with all but one of the following organic compounds ?

    78 / 146

    A neutral lipid molecule is composed of glycerol and fatty acid molecule in a ratio of

    79 / 146

    Cholesterol is associated with ?

    80 / 146

    total number of carbon atoms in fused rings of steroid

    81 / 146

    Neutral lipid are formed due to

    82 / 146

    ___ is polyterpene ( federal )

    83 / 146

    A steroid nucleus consists of __ carbon atoms arranged in four attached ring ( federal )

    84 / 146

    Cholesterol is a precursor of large number of equally important ( federal )

    85 / 146

    ___ is derived from Arachidonic acid ( federal )

    86 / 146

    Two isoprene units form a monoterpene e.g ( federal )

    87 / 146

    Phosphatidic acid molecule is most similar to ___ ( federal )

    88 / 146

    __ is unsaturated fatty acids ( federal )

    89 / 146

    __ are simplest fatty acids ( federal )

    90 / 146

    Fatty acid contains ___ number of carbon from 2 to 30  ( federal )

    91 / 146

    The most abundant lipid in living things is ( federal )

    92 / 146

    In general lipid Components of the cell membrane is ( federal )

    93 / 146

    __ is simple lipid which shows molecular formula as C57H110O6 ( federal )

    94 / 146

    Lipid contain relatively ___ oxygen proportional to carbon and hydrogen than do carbohydrates ( federal )

    95 / 146

    ___ are the heterogeneous group of organic compounds ( federal )

    96 / 146

    Waxes are mixture of long chain alkane with odd number of carbon ranging from ( punjab)

    97 / 146

    Fats and oils are lighter than water and have specific gravity of ( punjab)

    98 / 146

    Unsaturated fatty acid contains double bonds UpTo ( punjab)

    99 / 146

    saturated fats

    100 / 146

    Which of the following lipds don’t contain fatty acids?

    101 / 146

    Lipids are insoluble in water because lipid molecules are

    102 / 146

    Terpenes are ……..

    103 / 146

    The sulphur containing Amino acids is/are……..

    104 / 146

    which of the following is not a lipid?

    105 / 146

    the type of lipids which do not contain fatty acids are

    106 / 146

    each steroid is formed of a back bone of  fused carbon rings containing ________carbon atoms

    107 / 146

    waxes are formed by long chain of fatty acids bonded with long chain of ___________?

    108 / 146

    glycerol is the back bone molecule for

    109 / 146

    a fatty acid is unsaturated if it

    110 / 146

    estrogen, vitamin D and cholesterol all are the examples of

    111 / 146

    ________ regulates the selective permeability of the plasma membrane allowing movement of molecules according to the needs of the cells

    112 / 146

    Biologically, plays key roles in maintaining the integrity of lipid bilayer membranes.

    113 / 146

    Butyric acid is a ________ carbon fatty acid

    114 / 146

    What is the ester of fatty acids and long-chain alcohol this called?

    115 / 146

    Lipids, which do not contain fatty acid are:

    116 / 146

    Unsaturated fatty acid contains double bonds UpTo ( punjab)

    117 / 146

    Fats and oils are lighter than water and have specific gravity of ( punjab)

    118 / 146

    Waxes are mixture of long chain alkane with odd number of carbon ranging from ( punjab)

    119 / 146

    Ringed fatty acids are present in

    120 / 146

    The melting point of plamitic acid is

    121 / 146

    The melting point of butyric acid is

    122 / 146

    The linkage found in lipids is called as

    123 / 146

    What is the primary difference in the chemical composition of lipids compared to carbohydrates?

    124 / 146

    Which of the following best describes the relationship between glycerol and fatty acids in the formation of acylglycerols?

    125 / 146

    Based on the structure of stearic acid, how many carbon atoms are present in its hydrocarbon chain?

    126 / 146

    What is the functional group present in stearic acid?

    127 / 146

    Based on the structure of linoleic acid, how many double bonds are present in its hydrocarbon chain?

    128 / 146

    It is estimated that a person of average size contains approx ________kg of fats

    129 / 146

    It is estimated that a person of average size contains 16kg of fats which contain _______KCal of energy

    130 / 146

    What is the significance of the phosphate group in a phospholipid molecule?

    131 / 146

    Which of the following best describes the amphipathic nature of phospholipids?

    132 / 146

    Properties of cell membrane depends on its __________ component

    133 / 146

    Which of the following is an example of a terpene?

    134 / 146

    Which of the following molecules are terpenes involved in the synthesis of?

    135 / 146

    Which of the following terpenes is known for its characteristic minty fragrance?

    136 / 146

    Which of the following plants is associated with the terpene geraniol, which contributes to its characteristic fragrance?

    137 / 146

    Acylglycerols have — density as compared to water

    138 / 146

    Triolein melts at —-°C

    139 / 146

    —- of acylglycerols produce margine and butter

    140 / 146

    Acylglycerols undergo— to produce odorus and flavored compounds

    141 / 146

    Which statement is correct regarding the monomers of lipids?

    142 / 146

    The building blocks of waxes often include:

    143 / 146

    Phospholipids typically include which components?

    144 / 146

    Steroids like cholesterol are formed from which units?

    145 / 146

    How many ester bonds in a triglyceride?

    146 / 146

    Phosphodiester bond forms between:

    Your score is

    The average score is 1%

  • HMB Delivery

    [halal_meat_boston]
  • Cell Wall

    Report a question


    You cannot submit an empty report. Please add some details.








    Cell Wall



    1 / 86

    the middle lambella of cell wall is composed  of





    2 / 86

    Chemically, peptidoglycan is composed of all of the following except:





    3 / 86

    It can never be a chemical component of cell wall:





    4 / 86

    Q.6 The fungal cell wall is composed of _______________ while bacterial cell wall contains ______________, respectively.





    5 / 86

    All of the following organisms contain peptidoglycan in their cell wall except:





    6 / 86

    cell wall is derived from ……….





    7 / 86

    cell wall is secreted by





    8 / 86

    middle lamella is composed up of





    9 / 86

     prokaryotic cell wall is made up of





    10 / 86

    Which substance gives secondary cell wall its rigidity ?





    11 / 86

    Bacteria cell is made up of peptidoglycan. Chemical composition of peptidoglycan is carbohydrate chain attached____





    12 / 86

    The cell wall of prokaryotic cell (bacterial) is composed of:





    13 / 86

    the thickness of secondary cell wall is about





    14 / 86

    the secondary wall follows the order of _________ in development





    15 / 86

    primary cell wall is composed of 





    16 / 86

    thickness of primary cell wall is about





    17 / 86

    __________ is the first wall formed in a developing cell





    18 / 86

    thickness of middle lamella is about





    19 / 86

    the cell walls have ____________ fundamental parts 





    20 / 86

    cell wall was discovered  earlier than





    21 / 86

    Stiffness of secondary cell wall is due to……..





    22 / 86

    Arrangment of cell wall from outermost to innermost is……





    23 / 86

    the middle lamella of cell wall is composed of





    24 / 86

    polysachharide cellulose is the building material of





    25 / 86

    proper arrangement of layers in plant cell from inside to outwards is





    26 / 86

    The Cell wall is secreted by which part





    27 / 86

    All are the characteristics of primary cell wall except (kpk)





    28 / 86

    Thickness of primary wall is ( kpk )





    29 / 86

    The living content of eukaryotic cells are divided into ___ and cytoplasm (kpk)





    30 / 86

    In woody tissue __ is lignified ( kpk)





    31 / 86

    Cell wall of neighboring cell held together by an intercellular substance ___ (kpk)





    32 / 86

    ____ is collectively called protoplasm  (PUNJAB)





    33 / 86

    Primary wall is composed of





    34 / 86

    Secondary wall is composed of





    35 / 86

     Acording to Robert Hook ce;ll is bounded by ?punjab





    36 / 86

    Robert hook reported his work in his famous publication?punjab





    37 / 86

    Cell was discovere by robert hooke ?(punjab)





    38 / 86

    pectin is made up of ________galactouronic acid





    39 / 86

    pectin are soluble in cold is this true?





    40 / 86

    pectin are soluble in?





    41 / 86

    The Cell wall is secreted by which part





    42 / 86

    Which of the following is thickest part of cell wall?





    43 / 86

    The dead part of a cell is





    44 / 86

    The middle lamella of woody tissues contains





    45 / 86

    What is the order of parts of cell wall from outside to inside





    46 / 86

    Cellulose formation occurs in





    47 / 86

    Which of the following is NOT a component of the plant cell wall?





    48 / 86

    The outermost layer of a plant cell wall is the





    49 / 86

    The primary wall of a plant cell is primarily composed of





    50 / 86

    The cell wall of fungi is primarily composed of





    51 / 86

    The cell wall of plants is primarily composed of





    52 / 86

    The cell wall of algae is primarily composed of





    53 / 86

    The cell wall is synthesized by





    54 / 86

    the outer surface of some cells is covered with non-living , stiff layer called





    55 / 86

    What is the function of the middle lamella





    56 / 86

    The middle lamella is formed during





    57 / 86

    What happens when the middle lamella dissolves





    58 / 86

    Which of the following statements about the middle lamella is FALSE





    59 / 86

    The middle lamella is involved in





    60 / 86

    Middle lamella is mainly made up of





    61 / 86

    The primary cell wall is primarily composed of





    62 / 86

    The primary cell wall is synthesized by





    63 / 86

    The primary cell wall is thinner and more elastic in





    64 / 86

    Plasmodesmata are





    65 / 86

    The crisscross arrangement of cellulose in the primary cell wall





    66 / 86

    The primary cell wall is involved in





    67 / 86

    The primary cell wall can be further strengthened by the deposition of





    68 / 86

    The secondary cell wall is located





    69 / 86

    The secondary cell wall is typically found in





    70 / 86

    The secondary cell wall is primarily composed of





    71 / 86

    The secondary cell wall is





    72 / 86

    The secondary cell wall plays a major role in





    73 / 86

    The secondary cell wall can be further strengthened by the deposition of





    74 / 86

    The primary function of the cell wall is





    75 / 86

    The cell wall acts like a





    76 / 86

    The cell wall is particularly important in





    77 / 86

    The cell wall is





    78 / 86

    The cell wall helps in the movement of





    79 / 86

    The cell wall acts as a





    80 / 86

    The most fundamental generalization in biology is





    81 / 86

    The statement omnis cellula e cellula was given by





    82 / 86

    —– cells give support to plants





    83 / 86

    Cell wall is secreted by





    84 / 86

    Fungal cell wall contains





    85 / 86

    The cellulose fibres are arranged at which angle?





    86 / 86

    Rigidity in younger parts of plant is provided by




    Your score is

    The average score is 0%





  • Hello world!

    Welcome to WordPress. This is your first post. Edit or delete it, then start writing!